编者按:第61届美国血液学会(ASH)年会于2019年12月7~10日在美国奥兰多隆重举行。作为血液学的盛会,ASH汇集了全球顶级血液疾病领域专家来共同回顾一年来的收获并指导当前临床实践,同时为新的研究和进展指明方向。本期我们邀请到了天津医科大学肿瘤医院孟祥睿博士对部分摘要进行编译,并请天津医科大学肿瘤医院张会来教授进行了点评,以惠及各位读者。
R-CHOP联合大剂量甲氨蝶呤方案同时行鞘内化疗治疗血管内大B细胞淋巴瘤取得良好疗效
背景:血管内大B细胞淋巴瘤(Intravascular large B-cell lymphoma, IVLBCL)是一种罕见的疾病,主要表现为淋巴瘤细胞选择性的浸润生长在小血管管壁上。为了提高对该病的认识,WHO分类中专门将其列出。然而,对于该亚型的治疗目前尚无基于前瞻性临床试验结果得出的标准治疗方案。先前报道中含有利妥昔单抗的方案治疗IVLBCL展现出了应用前景,但中枢神经系统复发风险仍然很高(中枢神经系统复发率为3年25%)。为探讨更有效的一线治疗方案,研究者进行了一项Ⅱ期临床研究,应用R-大剂量MTX(R-HDMTX)及鞘内注射甲氨蝶呤、阿糖胞苷与泼尼松龙等R-CHOP方案联合,进行中枢神经系统预防性化疗。
方法:该研究纳入的患者为初治、经组织学明确诊断的IVLBCL,年龄20~79岁,ECOG评分0~3分,初诊时无明显神经系统表现。患者先行3周期R-CHOP方案化疗,随后接受每2周一次的R-HDMTX方案(3.5g/m2;70岁以上患者2g/m2)化疗2周期,最后补足3周期R-CHOP方案。在前3周期及后3周期的R-CHOP方案化疗时行鞘内注射化疗(甲氨蝶呤15mg,阿糖胞苷40mg,泼尼松龙10mg)2次(共计4次)。患者疗效达到CR后,不再用药直至复发或进展。主要观察终点为2年PFS,次要观察终点包括2年总生存、完全缓解率、2年中枢神经系统累积复发风险、病情进展原因及不良反应。2年PFS阈值接近35%,预期两年PFS为60%。在90%的统计效力和5%的单面Ⅰ型误差的情况下,预期剔除10%不合格病例,预计的样本量为37。该试验已在UMIN临床试验注册中心注册(UMIN000005707)。
结果:2011年6月至2016年7月之间入选了38例IVLBCL患者。其中1例患者完成了治疗方案后发现其既往曾患淋巴瘤,该例患者评为不合格病例。38例患者中34患者(89%)按照方案要求完成了治疗。所有入组的IVLBCL患者病理均经中心病理诊断明确。37例合格病例基线特征如下:男性16例(43%),中位年龄66岁(范围38~78岁),ECOG评分>1者15例(41%),Ⅳ期 37例(100%),LDH高于正常值者36例(97%),WBC<4000/uL者11例(30%),Hgb<11g/dL者30例(81%),血小板<105/uL者17例(46%),IPI评分HI/H者33例(89%)。治疗前临床表现主要如下:B症状,低氧血症,神经系统症状,皮疹,肝肿大,脾肿大及嗜血细胞综合症。在37例合格病人中,CR率84%(95%CI:68-94%)。中位随访3.9年(2.0-6.6),2年PFS为76%(95%CI: 59-87%),2年OS为92%(95%CI:77-97%),2年中枢神经系统复发的累积发病风险为2.7%(95%CI: 0.2-12%)(图1)。在随访期间仅有1例患者出现了中枢神经系统复发。入组的38例患者中未发生治疗相关的的死亡,4级非血液学不良反应分别为中性粒细胞减少性发热、低钾血症及低血压,各为1例。3级非血液血毒性主要为中性粒细胞减少醒发热及低钾血症。3/4级淋巴细胞减少发生率分别为95%及50%,3/4级血小板减少发生率为40% 及24%。所有的毒性反应均可控。
结论:该Ⅱ期临床研究已达主要观察终点,结果显示中枢神经系统累积复发率低、毒性可接受,展现出了良好的结局。研究证实了对于初治的、无中枢神经系统受累表现的IVLBCL患者,可应用R-CHOP联合包括R-HDMTX及鞘内注射的中枢神经系统预防性化疗方案。
国际淋巴结外淋巴瘤研究第42组Ⅱ期(MARIETTA)试验:Matrix-RICE序贯治疗后行自体造血干细胞移植治疗继发中枢神经系统受累的弥漫大B细胞淋巴瘤
背景:弥漫大B细胞淋巴瘤患者出现继发性中枢神经系统播散(SCNSL)临床罕见但致命。继发性中枢神经系统受累既可发生在初诊时与其他系统性病变合并出现,也可出现于初始治疗后的复发阶段。基于原发中枢神经系统淋巴瘤的治疗经验,目前对于继发性中枢神经系统淋巴瘤患者的治疗主要采用大剂量甲氨蝶呤为主的化疗及自体造血干细胞移植。但该治疗方法对于中枢神经系统以外的病变疗效不佳,仅有1/3患者可进入到ASCT阶段,达到临床缓解。因此,研究者开展了一项强化免疫化疗后行自体造血干细胞巩固治疗HIV阴性的继发性中枢神经系统受累弥漫大B细胞淋巴瘤的多中心的Ⅱ期临床研究。(NCT02329080)。
方法:纳入标准:经组织学证实的DLBCL;初诊时即有中枢神经系统受累(与系统性病变同时存在)或中枢复发(孤立病变或系统性病变),年龄18-70岁;ECOG-PS≤3;先前未接受过大剂量甲氨蝶呤化疗。入组患者接受3周期MATRIX方案化疗后再行3周期RICE联合鞘内注射方案化疗,随后行BCNU-塞替哌/自体造血干细胞移植巩固治疗。主要观察终点为1年PFS。样本量的计算采用弗莱明单极设计,检测1年PFS的统计学差异从(P0)50%至(P1)65%所需样本量为69例(单侧,Ⅰ型错误5%,检验效能80%),脱落患者10%,总计所需入组患者为76例,如果41例患者达到疾病1年无进展,该方案考虑有效。
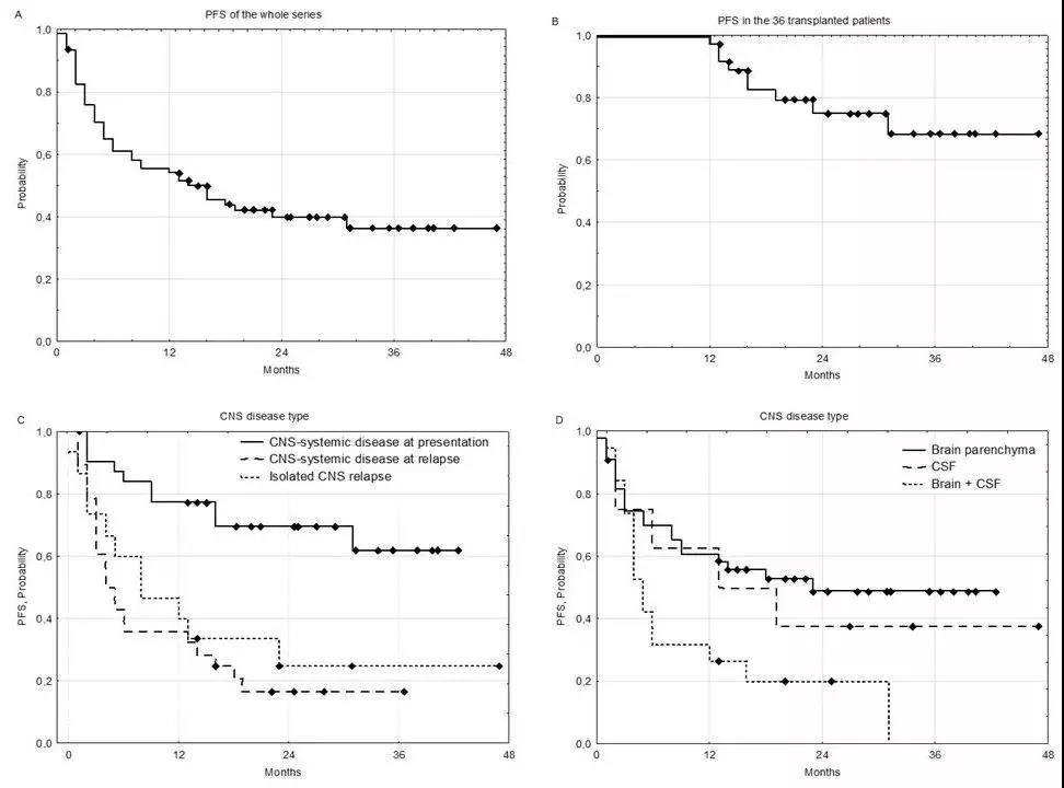
结果:2015年3月至2018年8月,该研究共入组了4个国家24个中心在内的79例患者,75例患者可评价(中位年龄58岁,范围23~70岁;其中38例为男性)。其中初诊时表现为中枢神经受累者32例(43%),复发时出现中枢神经受累者为43例(孤立部位者15例,伴随全身性病变者28例)。中枢神经系统累及部位为脑实质者34例(45%),脑及眼同时受累10例,脑实质及脑脊液受累13例,脑、眼及脑脊液受累6例,脑脊液/脑膜受累8例,脊髓受累2例,眼受累2例。43例复发患者出现中枢神经系统受累的中位时间为5个月(1~61个月),其中20例患者系难治性淋巴瘤。
计划应用450个化疗周期,但应用了320个周期(71%),64例(85%)患者接受了鞘注化疗。42例患者共出现78例SAE,主要为粒细胞减少性发热、感染(64例)和出血(5例)。74例(95%)SAE后续恢复,在应用MATRIX期间出现了4例致死性SAE(5%)及5次短暂中断治疗。在33(10%)个治疗周期中出现剂量下调。最常见的4级毒性反应如下:118个化疗周期出现血小板减少(37%),113个化疗周期出现中性粒细胞减少(35%),9个化疗周期出现感染(3%)。48例计划清髓的患者中,42例患者成功采集干细胞(中位数为6.7M/kg;范围:2.4-45)。
2周期MATRIX方案化疗后55例(73%; 95%CI 63-83%)患者治疗有效,20例2周期MATRIX方案达到CR的患者中,19例(95%)患者在后续的RICE方案维持治疗仍维持CR,35例2周期MATRIX方案达到PR的患者中,9例(26%)患者在后续的RICE方案治疗后达到CR。相反,在16例应用2周期MATRIX方案获得PD/SD的患者中,仅有3例患者对后续的RICE方案化疗有效。49例患者(65%;95%CI 54-76%)在MATRIX-RICE方案诱导后达到缓解,其中36例患者后续接受造血干细胞移植,13例患者未接受造血干细胞移植,其中4例因为骨髓动员不充分,5例患者因治疗结束后出现病情进展,2例患者体质太差,1例患者因神经系统功能减退,1例患者撤回知情同意。45例患者在整个治疗结束达到缓解(60%;95%CI 50-70%)。
41例患者在入组该研究1年时处于疾病无进展生存状态(有效阈值≥41)。中位随访25个月(12~47个月)时,31例患者处于疾病无进展生存状态,总体2年PFS为42±6%,接受移植的36例患者的2年PFS为75±7%(图A&B)。18例复发/进展的患者中,10例患者复发部位为中枢神经系统,9例患者为中枢神经系统以外的脏器。总体而言,该研究纳入的病人33例存活,2年OS为42±6%;其中接受移植患者的2年OS为82±7%。导致死亡的原因如下:35例患者死于淋巴瘤进展,4例患者死于毒性反应,3例患者死因与淋巴瘤无关,分别为神经系统功能减退、肺栓塞(PTE)及猝死。
在初诊时即出现中枢神经系统受累的患者预后最好(图C),而脑脊液阳性/脑膜受累(图D)及年龄>60岁为独立不良预后因素。
结论:继发性中枢神经系统受累弥漫大B淋巴瘤患者预后极差,应用MATRIX-RICE方案诱导缓解后行自体造血干细胞移植治疗这部分患者的临床研究已达到了主要观察终点,并未观察到重大安全隐患。对于接受移植的患者的生存数据似乎比既往的研究好一些,然而,对于MATRIX耐药的患者再行RICE方案化疗仍然很难获益。最佳生存数据出现在初诊时即表现出中枢神经系统受累但脑脊液阴性/无脑膜受累的患者中。
真实世界数据对初治Burkitt淋巴瘤及中枢神经系统受累患者治疗疗效分析
背景:Burkitt淋巴瘤(BL)极易出现中枢神经系统受累,需联合鞘内化疗或选用可透过血脑屏障(BBB)的药物全身化疗。目前低强度的DA-EPOCH-R方案在BL的治疗中展示了良好的生存(Dunleavy,NEJM,2013年),但该方案中并未包括用于预防中枢神经系统受累的药物(如大剂量甲氨蝶呤[HDMTX])。本项多中心回顾性临床研究旨在观察BL患者的治疗、风险因素及中枢神经系统受累相关结局。
方法:该研究纳入了2009年6月至2018年6月间美国26个中心的成人BL资料。根据2016 WHO诊断标准,经机构病理学审查,排除了其他高级别淋巴瘤(包括BL样/无法分类)及临床病理数据不足的病例。应用logistic回归分析方法研究中枢神经系统受累(CNSinv)基线的相关风险因素,应用COX和Fine-Gray模型研究患者PFS、OS及中枢神经系统复发的累积发生率的风险比(HR)或亚风险比(SHR)。所有估值均在95%的可信区间内。
结果:557例BL患者中(中位年龄:47岁;女性占24%,HIV +占23%),107例(19%)患者于初诊时出现CNSinv,其中脑膜受累者89例(16%),脑实质受累者15例(3%)。在多因素分析模型中,与初诊时即有脑膜受累显著相关的因素为临床分期Ⅲ/Ⅳ期(OR:11.2 [1.47-85.9])、体质状态差(OR:2.12 [1.22-3.69])、结外受累部位≥2(OR:3.77 [2.02-7.03])及骨髓受累(OR,2.44 [1.35-4.39]);肠道受累与基线中枢神经系统受累相关的风险较低(OR:0.27 [0.11-0.65])。患者初诊时是否有CNSinv与某一特定化疗方案(图A,P =0.75)或是否接受鞘内化疗无显著相关性(91% vs 84%,P=.065)。合并有CNSinv的患者很难达到完全缓解(62% vs 76%, P=0.005),3年PFS(47% vs 69%;P<0.001,图B)及OS(52% vs 75%;P<0.001,图C)较低。但在与其他预后因素一起进行调整后分析显示,这些因素无显著相关性(年龄≥40岁,体质状态差,LDH>正常值上限的3倍)。
中位随访3.6年,33例(6%)患者出现中枢神经系统复发(其中82%患者在明确诊断后的1年内复发,79%患者仅为中枢神经系统复发,21%同时患者合并系统性复发)。中枢神经系统复发的3年累积发生风险为6%[4-8%](图D)。单因素分析显示,与中枢神经系统复发相关的预测因素包括:基线CNSinv、HIV +、临床分期Ⅲ/Ⅳ期、体质状态差、LDH>正常值上限的3倍、结外受累部位≥2、骨髓受累或睾丸受累。然而,多因素分析模型显示,仅有基线CNSinv(SHR, 3.35 [1.53-7.31])和体质状态差(SHR, 2.24 [1.03-4.90])与中枢神经系统复发相关。3年中枢神经系统复发风险分别为:无不良风险者3%,存在一个不良风险者10%,两个不良风险均具备者为17%(图E)。此外,中枢神经系统复发风险因化疗方案的不同而不同,与CODOX-M/IVAC (4% [2-8%])或hyperCVAD / MA(3%[1-6%])相比,接受DA-EPOCH治疗的患者明显更高(3年中枢复发风险为12%[8-18%];图F)(与其他化疗方案相比,DA-EPOCH,SHR:3.50 [1.69-7.22])。DA-EPOCH治疗后复发的所有患者均接受鞘内注射化疗。无论基线CNSinv(Pinteraction=0.70)、体质状态差(Pint=0.14)或HIV(Pint=0.89)阳性与否,应用DA-EPOCH均存在较高的的中枢神经系统复发风险。基线CNSinv是接受DA-EPOCH治疗后患者中枢神经系统复发的最强风险因素(3年复发风险, 30% vs 8%,P<0.001)。在7例接受HDMTX联合DA-EPOCH方案化疗的患者中(其中6例患者在初诊时诊断为脑膜受累),3例(43%)患者中枢神经系统复发。所有出现中枢神经系统复发的BL患者中位OS为2.8个月[1.9-3.9] (图G)。中枢神经系统复发后,67%的患者行全身抢救性化疗,9%患者行鞘内化疗,3%患者行放疗,其余21%患者给予临终关怀。
.jpg)
结论:对于成年BL患者来说,基线中枢神经系统受累及体质状态差预示中枢神经系统复发风险高、预后差。同时,真实世界数据显示,接受DA-EPOCH方案化疗的患者中枢神经系统复发的风险显著增加。对于基线即存在中枢神经系统受累的BL患者,常规的临床治疗建议应用包含可透过血脑屏障药物的方案(如:CODOX-M/IVAC, hyperCVAD/MA)。随后的临床研究应着重设计降低中枢神经系统复发的低化疗强度方案。
美国淋巴瘤CAR-T联盟用
Axicabtagene Ciloleucel (Axi-cel)
治疗继发性中枢神经系统病变患者的经验分享
背景:Axicabtagene Ciloleucel(Axi-cel)是一种抗CD19 CAR-T细胞疗法,于2017年10月被批准用于治疗复发/难治性侵袭性B细胞非霍奇金淋巴瘤。基于ZUMA-1的研究FDA批准Axi-cel用于复发难治弥漫大B淋巴瘤的治疗,但ZUMA-1研究未纳入先前存在或活动性的继发中枢神经系统(CNS)淋巴瘤受累的患者(pts)。近期Frigault等人发表了一项关于应用Tisagenlecleucel CAR-T细胞治疗8例继发中枢神经系统受累淋巴瘤患者的报告。鉴于这两种CAR-T细胞疗法神经毒性表现不同,因此进一步明确Axi-cel在继发中枢神经系统淋巴瘤中的疗效尤为重要。在此我们报告17例既往出现继发性中枢神经系统受累患者或在Axi-cel CART输注时合并有中枢神经系统表现的患者接受Axi-cel CART治疗的真实世界经验。
方法:纳入患者资料来自于美国淋巴瘤CAR-T联盟的17个学术中心,数据资料收集独立于CAR-T生产商。除了在评估CAR-T治疗时,确定的存在活动性、继发中枢神经系统受累患者的疗效外,同时收集了继发中枢神经系统受累部位、治疗及预后的数据。9个中心报告了17例中枢神经系统受累病例的数据,其中1例病人随访数据缺失。应用Lee标准或改良的Lee分级量表评估细胞因子释放综合征(CRS);应用CTCAEv4或CARTOX分级法评估免疫效应细胞相关的神经毒性综合症(ICANS)。所有接受白细胞清除的患者均纳入意向治疗(ITT)分析的缓解率和无事件生存期(EFS)。EFS定义为自白细胞清除术时间起,直到由于任何原因导致疾病进展或死亡为止。使用Kaplan-Meier曲线和log-rank检验评估EFS。由于样本量小和涉及多因素分析问题,未正式评估中枢神经系统受累和非中枢神经系统患者之间临床特征和疗效差异。
结果:截止到2019年4月30日,计划行Axi-cel CAR-T治疗的患者共有300例行白细胞清除。在行白细胞清除时,17例(6%)患者表现为继发性中枢神经系统受累(4脑实质病变,10例脑膜受累/CSF(+),3项数据尚无)。与未合并中枢神经系统受累组相比,两组患者基线特征相似(A组)。继发性中枢神经系统受累组患者接受的商业化Axi-cel CAR-T细胞100%符合规范。继发中枢神经系统组患者中接受桥接治疗的比例更高,为82%(1例仅用激素,2例接受放疗,12例行全身治疗),而在非中枢神经系统受累组中仅有52%,P=0.022。中枢神经系统受累组从白细胞清除至接受CAR-T回输时间要比非中枢神经受累组患者长3.5天:中位时间分别为29.5天(范围20~76)VS 26天(范围5~67),(P= 0.029)。CAR-T细胞回输率分别为中枢神经系统受累组88%(15/17),非中枢神经系统受累组93%(262/283)。在接受CAR-T细胞回输治疗的15例中枢神经系统受累患者中,在进行CAR-T细胞回输时10例患者中枢受累症状已达到缓解,5例患者仍有持续中枢症状。
Axi-cel回输后,中枢神经系统受累组和非中枢神经系统受累组患者的3级及3级以上的CRS和ICANS的发生率相当。两组患者托珠单抗与激素的应用相似(Panel B)。中枢神经系统受累组患者没有观察到癫痫发作和脑水肿的发生。
在接受白细胞清除后,中位随访时间10.1个月,中枢神经系统受累组和非中枢神经系统受累组患者接受意向性治疗最佳总有效率(CR+PR)分别为75%和59%,在第6个月时的持续缓解率分别为41%和31%(panel B)。在CAR-T细胞回输时仍有活动性中枢神经系统症状的5例患者中,最佳有效率为2例CR,1例PR,2例PD。在另10例CAR-T回输时中枢神经受累得到控制的患者中,目前已有两例患者出现PD,均为系统性复发。中枢神经系统受累与非中枢神经系统受累的患者。自白细胞清除后计算EFS,两组间无统计学差异(6个月EFS:CNS组36%,非-CNS组57%. HR=1.58, 95% CI:0.83-3.01, p=0.16, Panel C)。自CAR-T细胞回输计算6个月EFS,CNS组为49.9%(Panel D)。
结论:与非中枢神经系统受累患者相比,继发性中枢神经系统受累患者在真实世界接受CAR-T治疗的CAR-T细胞回输率、毒性和预后相似。本研究样本量较小、随访时间短,指导临床实际应用的证据还不够强大,但为CAR-T在继发性中枢神经系统受累患者的应用提供了进一步支持。
专家点评
继发性中枢神经系统淋巴瘤患者发病率低,但预后极差,随着药物研究进展、治疗手段的进步,淋巴瘤患者的生存较前有所提高,对继发性中枢神经系统淋巴瘤患者的治疗也有了更大的关注。近年来,对预防性鞘内注射化疗、包含可以通过血脑屏障药物的系统性化疗方案的设计、CAR-T及自体造血干细胞治疗的回顾性与前瞻性研究逐渐涌现,受研究样本量限制,目前对继发性中枢神经系统受累淋巴瘤的治疗方案尚无定论,但更为提倡在化疗方案中加用可通过血脑屏障药物,同时为CAR-T在继发性中枢神经系统受累淋巴瘤治疗中提供了更多的数据支持。
作者简介
孟祥睿
天津医科大学肿瘤医院淋巴瘤内科,主治医师,讲师,肿瘤学博士
主要从事淋巴瘤的内科诊治及基础、临床研究。参与多项国家及省部级课题,发表SCI文章数篇;作为Sub-I参与多项国内外临床试验。
张会来
肿瘤学博士,主任医师,博士研究生导师
天津医科大学肿瘤医院淋巴瘤内科主任
中国抗癌协会(CACA)淋巴瘤专业委员会副主任委员
中国临床肿瘤学会(CSCO)抗淋巴瘤联盟常委
中国医疗保健国际交流促进会肿瘤内科分会副主任委员
中国老年保健协会淋巴瘤专业委员会副主任委员
中华医学会肿瘤分会淋巴瘤学组委员
天津市抗癌协会淋巴瘤专业委员会主任委员
天津市血液病质控中心副主任委员
天津市医师协会血液医师分会副会长