当前位置:肿瘤瞭望>资讯>正文

益普生直击ENETS 2020丨把握精准医学的脉搏,聚焦胰腺神经内分泌肿瘤术后复发风险预测

作者:肿瘤瞭望   日期:2020/3/18 20:10:28  浏览量:22129

肿瘤瞭望版权所有,谢绝任何形式转载,侵犯版权者必予法律追究。

第17届欧洲神经内分泌肿瘤学会年会(ENETS 2020)已落下帷幕,为

温馨提示
以下内容仅限医疗卫生专业人士学术交流使用,如为非医疗卫生专业人士请主动退出浏览与阅读,否则由此产生的相关风险与后果应自行承担。
 
第17届欧洲神经内分泌肿瘤学会年会(ENETS 2020)已落下帷幕,为了帮助大家更好了解本次大会的内容,《肿瘤瞭望》特邀神经内分泌肿瘤领域的大咖专家、浙江大学医学院附属第二医院胡涵光教授解读精准医学领域研究,华西医院柯能文教授解读胰腺神经内分泌肿瘤外科治疗新发现。

近几年神经内分泌肿瘤治疗呈现一个趋势,不仅关注疾病控制,还很关注整个治疗过程中的生活质量。神经内分泌肿瘤对生活质量的影响主要体现在哪些方面?

胡涵光教授:神经内分泌肿瘤(NENs)对患者生活质量的影响主要体现心理和生理两方面。在心理上,神经内分泌肿瘤终究属于恶性肿瘤,罹患肿瘤的患者多少都会产生心理负担,担心影响生活质量及生存时间等;生理上,功能性神经内分泌肿瘤会出现相关激素症状,如潮红、腹泻和血糖异常等;肿瘤占位或转移导致的梗阻和疼痛等症状。
 
2020 ENETS哪些研究临床QoL关怀有借鉴意义?药物研发改进方面是否也有QoL关怀趋势?

胡涵光教授:2020 ENETS年会有一项文献系统回顾报告了1985年~2019年间胃肠胰神经内分泌肿瘤(GEP-NENs)患者的健康相关生活质量(HRQoL)数据的文献。结论提示HRQoL指标可作为监测患者病情、疾病进展及心理健康状况的一种手段。该研究从259篇文献中共计筛选出44篇符合入选标准;经验证的EORTC QLQ-C30及GI-NET生活质量量表是最常用的指标;结论提示HRQoL指标可作为监测患者病情、疾病进展及心理健康状况的一种手段(图1, 2)。该研究特别提到了所引用的NETTER-1研究, 177Lu-PRRT(177Lu-dotatate)治疗能为中肠NET患者带来显著的HRQoL获益,使其总体健康及身体功能等多方面指标的恶化时间(TTD)更长[1]。2019年ASCO(Abs 4111)就报道了NETTER-1研究中有关对腹痛、腹泻及潮红三项症状的缓解情况,提示177Lu-PRRT(177Lu-dotatate)治疗可以减轻激素相关症状,而多年前的ELECT、SYMNET等研究也证实了生长抑素类似物(SSA)对神经内分泌肿瘤患者症状的改善情况。这些研究都提示医疗人员非常关心对患者生活质量的改善。
 
图1. 应用HRQoL和其他评估手段的研究数量
 
图2. 每种治疗模式HRQoL研究的比例
 
神经内分泌肿瘤,特别是G1/G2的患者,疾病进展相对缓慢,生存时间长,随访和治疗多在门诊完成,注射长效SSA或口服TKIs/化疗药物是主要的治疗手段;去医院或指定的药店注射药物对于QoL关怀方面有一定的影响。今年ENETs会议有一项研究评估了SSA居家治疗的体验。89%的患者对于能够将SSA带回家应用表示满意或非常满意。若没有这个选择,91%的患者表示不得不花费至少半天时间去医院[2]。不难看出,对于慢性疾病,用药的便捷性直接影响患者的QoL,未来药物治疗的研究方向也会向着居家自理的方向发展,如糖尿病患者注射胰岛素。目前则希望国外已经应用于临床的新剂型在国内能上市,惠及患者。
 
在神经内分泌肿瘤药物研发改进方面也有类似的关怀趋势,在注重药物疗效的同时会注意药物不良反应导致的患者生活质量(2019年ASCO Abs 4109汇总了神经内分泌肿瘤TKIs药物研究的不良反应,提示男女有别且女性不良反应大于男性),同时会特别关注功能性神经内分泌肿瘤激素相关症状的控制。
 
2020 ENETS会议中哪些精准医疗的研究是您感兴趣的?目前精准医疗研究火热,标准化似乎还不太成熟,如何加速这一过程?

胡涵光教授:神经内分泌肿瘤的异质性非常大,这是导致标准化过程缓慢的原因。总览ENETS会议在精准医疗领域的摘要,分享以下几项有趣的研究:
 
NETest 是美国Irvin Modlin教授2014年建立,将NENs患者血液中筛出的51个转录片段数学建模后,用于NENs诊断、治疗与疗效评估的技术。今年有一项研究验证了NETest能否作为RECIST的替代生物标志物;以及NETest水平、预测系数(Predictive Quotient, PPQ)与治疗效果的相关性。这项研究对接受177Lu-PRRT(177Lu-dotatate)治疗的共计122例NENs患者进行了前瞻性评估,RECIST1.1评估显示67%的患者有应答(稳定、部分/完全应答),应答者中NETest水平明显更低(-47±3%);无应答者NETest则显著增高(+79±19%);NETest预测PRRT治疗反应的准确性高达98%。随访期间的NETest水平<40分(疾病稳定)或NETest >40(疾病进展)与中位无进展生存期(mPFS)显著相关(未达到 vs. 10个月)(图3)。采用PPQ反应预测PRRT治疗反应的准确性为97%,阳性预测值及阴性预测值分别为99%和93%;CgA则并不能预测PRRT治疗反应(p=NS)。这提示我们NETest是一种可有效替代放射学标准的标志物(影像学一致性98%),NETest降低可用来确认应答者,且与采用治疗前PPQ反应进行预测的结果一致性超过97%[3]。
 
图3. NETest水平、PPQ与mPFS显著相关
 
另外一项研究对神经内分泌肿瘤进行新一代测序(NGS)检测,发现G1/G2 肿瘤中几乎未发现适合靶向药物治疗的基因组改变,而G3 NENs中81.5%存在可检测到的突变,其中KRAS和BRAF比例分别达50%和27%,这种NGS分析可能为晚期G3 NENs提供新的治疗选择,但其实际应用价值目前看来非常有限,还有很长的路要走[4]。
 
我关注到两项来自中国的研究,一项来自复旦大学肿瘤医院的研究回顾性地评估无功能性胰腺神经内分泌肿瘤(NF-PNETs)的免疫细胞浸润特征。研究发现,总肿瘤浸润中性粒细胞(TINs)和肿瘤相关巨噬细胞(TAMs)随着肿瘤分级的升高而增加(p<0.001和p=0.002)。多因素Cox回归分析显示,瘤内TINs及WHO分级均是RFS的独立预测因素(p值分别为0.026和0.003),也是OS的独立预测因素(p分别为0.026和0.008)。除了我们熟知的分级系统,瘤内TINs也是NF-PNETs术后预后不良的独立预测因素。两种指标联用可显著提高对RFS及OS的预后预测的准确性(一致性指数分别为0.6889和0.8103;AIC值分别为257.77和98.79),也就是说,TINs和WHO分级联用有助于细化风险分层,提高预后预测的准确性[5]。
 
另一项是为期10年的全国性多中心回顾性研究,探讨了胰腺神经内分泌肿瘤(pNENs)的临床病理特征与远处转移的相关性。研究共计筛选出633例患者,其中82例发生了远处转移(肝转移占80.5%)。与远处转移者相比,无远处转移的患者胰岛素阳性率更高;胰高血糖素阳性率更低。此外,胰多肽(PP)和血管活性肠肽(VIP)的表达也与远处转移具有相关性。这提示:胰岛素可能是pNENs的一种保护性因子,胰高血糖素则可能是患者发生远处转移的危险因素。PP及VIP的表达是远处转移的正相关因素,有望成为预测pNENs远处转移的辅助指标[6]。
 
总体而言,现在已经有很多研究在推进这个问题,最基础的就是基于不同原发部位的探索,比较受到关注的是引发NEC 和NET G3的不同部位肿瘤起源的研究。对临床医生来说,未来需要结合一些可检测标志物如Ki67、Rb和CgA等来构建模型,精准选择治疗方式,指导临床结合使用手术、放化疗等治疗方式;在基础研究层面,明确肿瘤起源和发展通路无疑是精准医疗的基础,从中可以寻得驱动基因和靶点;临床治疗中的相关指标和疾病发生发展的关系还需要在机制层面加以解释。
 
神经内分泌肿瘤是相对少见的肿瘤,请介绍一下我国的胰腺神经内分泌肿瘤的发病概况,以及目前的诊治策略。

柯能文教授:胰腺神经内分泌肿瘤的发病情况在国内还没有非常权威的数据,欧美地区的发病率大约为2.5~5 人/10 万,发病率不是非常高。近些年由于体检意识提高和检测手段的丰富,检出率有所增加。在中国,胰腺是最常见的NENs发病部位,占40%左右,欧美等西方国家以小肠为最常见的发病部位。
 
在诊断方面,功能性pNENs会表现出特异性的体征或症状,比如胰岛素瘤会引起低血糖,胰高血糖素瘤会导致皮疹,这些症状会提示有经验的医生发现疾病。70~80%神经内分泌瘤早期没有明显的症状,很多<2cm的肿瘤在体检中被发现。没有体检习惯的人,一般较晚才会被诊断,常常是因为肿瘤长大压迫到消化道或胆管,出现消化道梗阻或黄疸或肝转移等情况时才会被发现。pNENs诊断方法包括定性诊断(检测特异性的异常分泌激素水平)和定位诊断(影像学检查),华西医院采用的68Ga PET/CT是一种比较好的诊断技术,另外超声内镜下穿刺活检也可为临床诊断提供病理依据。在治疗方面,无论是功能性还是非功能性的pNENs,只要是可切除的肿瘤,肯定优选手术治疗,手术切除是pNENs患者获得长期生存的主要方法;对于无法手术切除或已经发生远处转移的患者,临床上应积极地创造手术条件,根据不同的肿瘤分级、肿瘤基因和生长抑素受体的检测,先期采用药物治疗或放射治疗,待肿瘤缩小,达到切除的条件后,再给予手术治疗。
 
今年的ENETS年会中,胰腺神经内分泌肿瘤仍是热点之一,尤其是术后复发预测和肝转移治疗等方面,请分享几项您关注的研究。

柯能文教授:pNENs根治性手术后远处转移的概率还是相对偏高的,其中肝转移的概率更高,从我们中心来看,根治术后原位癌复发的几率很少见,这一点和胰腺癌不太一样。
 
如何早期预测、早期发现术后可能出现转移复发的病人,目前还没有公认的标准。相对来说,ki-67是比较有力的预测工具;2019年一项研究发现淋巴结是否转移以及转移个数与术后转移风险有关,今年ENETS也有类似研究。还有一些研究认为手术切缘与术后复发风险有关,切缘小于1cm,术后复发风险较高。
 
今年ENETS的一项研究评估了非功能性胰腺神经内分泌瘤(NF-PNETs)术后转移性淋巴结数量对无病生存(DFS)的影响,并确定合适淋巴结分期的最低检查淋巴结(LN)数量。该研究回顾性分析了4个欧洲中心的NF-PNETs,将淋巴结转移数分为N1(1-3阳性)和N2(4阳性),结果发现272例患者中,N0、N1和N2患者3年DFS分别为92%、72%和50% (p<0.0001)。在多变量分析中,DFS的预测因子为组织学分级(p=0.019)、T分期(p=0.006)、存在坏死 (p=0.001)和N1 (p=0.018)或N2 (p=0.001)。与转移性淋巴结数较高概率相关的因素有组织学分级、切缘状态、神经和微血管浸润以及检查的N数目。在12个淋巴结检查的患者中,淋巴结状态显著预测复发(p<0.001),小于12个淋巴结检查,则无意义(p=0.116)。提示手术切除的NF-PNETs中N转移的数目可以预测其复发。N0/N1/N2分类可以作为一个有效的复发预测模型应用于NF-PNETs。在接受远端胰腺切除(DP)治疗的NF-PNETs患者中,至少应收集12个N,以进行适当的分期(图4,5,6)[7]。
 
图4. N0/N1/N2与DFS的KM曲线
 
图5. 淋巴结数目(≥12与<12个)与DFS的KM曲线
 
图6. DFS相关因素多因素分析
 
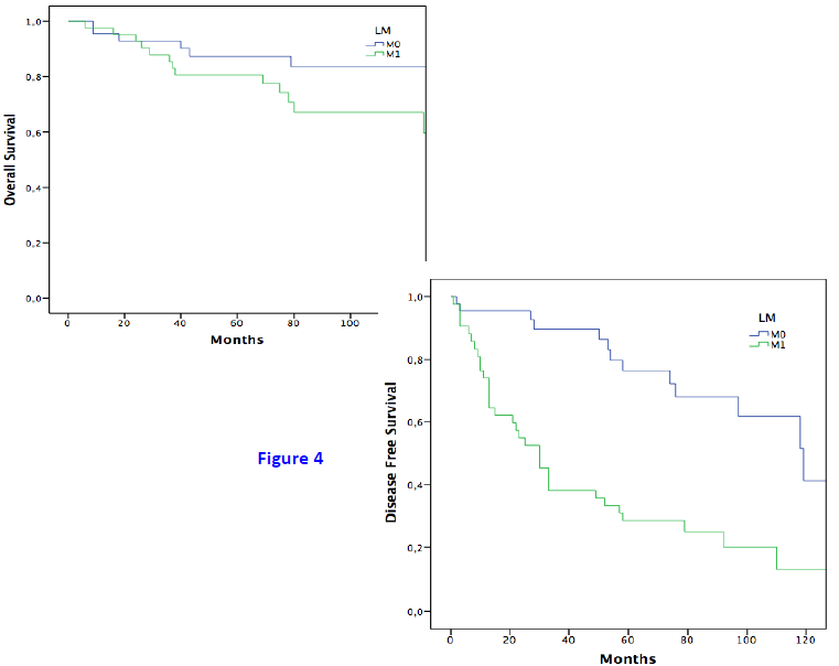
另外还有一项关于胰腺部位肿瘤大小与肝转移的研究也比较有意义。该单中心研究比较不同大小pNENs(≤ 2cm和> 2cm)与自然病程的OS和DFS以及特定预后因素与肝转移(LM)的风险之间的关系。共计87例患者纳入分析,有LM的患者42例(48.2%),无LM的患者45例(51.7%)。所有患者都接受了原发肿瘤的根治性手术。在单变量分析中,原发肿瘤直径(> 2cm)是唯一LM发生的相关因素 (p<0.04), 多变量分析也证实了这一发现 (p=0.032)。Cross-Tabs评估显示,>2 cm pNENs患者发生LM的可能性是肿瘤较小患者的4倍。5年和10年OS分别为M0组87.4%和83.6%,M1组为80.6%和67.2% (p=0.18)。5和10年DFS 在M0组为76.2%和41.1%,  在M1组28.6%和13.3% (p<0.0001)(图7,8)。该研究证实,尽管肿瘤生物学预测目前仍然缺失,肿瘤直径是唯一的发生LM风险独立因素[8]。
 
图7. 肿瘤直径与肝转移的风险(LM)
 
图8. M0组/M1组与OS和DFS
 
对于有术后复发高危因素的G1、G2患者,如何在术后早期干预,从而降低复发转移风险?ENETS等指南没有相关推荐,近几年来,大家越来越关注这个问题,开展了很多研究,最热门的是梅奥诊所曾发表在Neuroendocrinology的基于美国国家癌症数据库的分析结果,发现术前新辅助化疗或术后辅助化疗并不会给G1、G2和G3患者带来获益;国内长海医院金刚教授领衔开展了一项长效生长抑素类似物(SSA)用于G2 胰腺神经内分泌瘤(pNET)患者术后辅助治疗的多中心真实世界研究,今年ENETS会议发布的中期结果显示SSA术后辅助治疗可延长G2 pNET患者的DFS[9]。我们中心也在G1和G2 pNET术后高风险患者中采用SSA辅助治疗,临床观察发现这种策略是有益的,希望未来能在高危患者中开展更多的药物辅助治疗的前瞻性研究。
 
对于胰腺神经内分泌肿瘤外科治疗,临床上面临哪些亟待解答的问题?

柯能文教授:目前外科治疗在胰腺神经内分泌肿瘤治疗中的地位不可撼动,但外科治疗方面还存有很多争议,以下我谈几个争议较大的临床问题:
 
⑴对于发生肝转移的pNENs病例,如果肝转移灶能够切除90%以上,原发灶和肝转移同期进行切除对病人是有好处的;有的研究认为肝转移灶减瘤70%对病人也有好处,不一定要全部切除。那么,肝转移灶切除90%是不是必须的?这是一个存在争议性的问题。
 
⑵对于原发灶能完整切除,但转移灶弥漫不能切除的pNENs病例,是否需要切除原发灶?有的专家认为若转移灶不可切除,原发灶不予切除,除非是为了控制危及生命的症状(如梗阻、肿瘤出血);而2013年以来发表的五六篇高影响因子的回顾性研究发现,不处理转移灶,只处理原发灶是能给病人带来长期生存获益的。
 
⑶对于原发灶和转移灶均能完整切除的pNENs病例,如果是G1和G2级,建议手术切除原发灶和转移灶;如果是G3级,是否也可以切除原发灶和转移灶?目前相关的研究还很少。
 
⑷1cm~2cm的pNENs肿瘤该不该做手术?pNENs被认为是相对惰性的肿瘤,直径在1cm~2cm的pNENs,指南建议随访观察,当然接受观察的病例会有一些条件限制。然而,多篇meta回顾性分析数据发现,1cm~2cm肿瘤患者,采取手术治疗患者的生存期比单纯随访观察者更好;而梅奥诊所的研究认为3cm以内的肿瘤,随访观察是比较安全的。
 
⑸pNENs根治性手术后,对于存在周围血管侵犯、神经侵犯等术后复发高危因素的患者,是否应尽早给予SSA或化疗等药物治疗,以降低复发转移风险?
 
以上这些问题都没有明确答案,但是对病人又非常的重要,这些问题处理不好,会影响病人的生存,希望未来能开展更多的研究为临床解疑答惑。
 
专家简介
 
参考文献
1. Fountain D et al. Assessment of Quality of Life in Patients with Neuroendocrine Tumours: Results of a Systematic Literature Review. ENETS Annual Conference 2020, abstract (N02)
2. Gertner J et al. Homecare Service for Administration of Lanreotide Autogel Injections: Assessment of Patients’ Experience. ENETS Annual Conference 2020, abstract (H15)
3. Bodei L et al. PRRT Neuroendocrine Tumor Response Assessment Using Circulating Transcript Analysis: The NETest. ENETS Annual Conference 2020, abstract (F02)
4. Garcia-Alvarez A et al. Impact of Next-Generation Sequencing Analyses on Treatment Management of Patients with Advanced Neuroendocrine Neoplasms. ENETS Annual Conference 2020, abstract (F09)
5. Zhang W et al. Tumour-Infiltrating Neutrophils Predict Poor Survival of Non-Functional Pancreatic Neuroendocrine Tumour Patients after Curative Resection. ENETS Annual Conference 2020, abstract (F27)
6. Zhu X et al. Correlation between Clinicopathological Features and Distant Metastases in Pancreatic Neuroendocrine Neoplasm: A National Multicenter 10-Year Retrospective Study. ENETS Annual Conference 2020, abstract (F28)
7. Guarneri G et al. The Number of Positive Nodes Accurately Predicts Recurrence after Distal Pancreatectomy for Nonfunctioning Neuroendocrine Neoplasms. ENETS Annual Conference 2020, abstract (L05)
8. Monteleone M et al. Pancreatic Neuroendocrine Neoplasms and Liver Metastases: When Size Matters. ENETS Annual Conference 2020, abstract (L16)
9. Shi X et al. Using Long-Acting Somatostatin Analogue as Adjuvant Therapy for Post Resection Grade 2 Pancreatic Neuroendocrine Tumor: Interim Results from an Ongoing Multicenter Real-World Study in China. ENETS Annual Conference 2020, abstract (H28)
 
声明
本视频/资讯/文章是由益普生医学团队编辑/医疗卫生专业人士撰写提供,旨在用于医疗卫生专业人士间的学术交流,不支持以任何形式转发给非医疗卫生专业人士;如有违反,责任自负;转发给其他医疗卫生专业人士时,也请自觉保护知识产权。

本视频/资讯/文章的内容不能以任何方式取代专业的的医疗指导,也不应被视为诊疗建议。内容中出现任何药品并非为广告推广目的,医疗卫生专业人士如进行处方,请严格遵照该药品在中国批准使用的说明书。益普生不承担任何相关责任。
 
DR-CN-000457    DR-CN-000458

本内容仅供医学专业人士参考


ENETS

分享到: 更多