当前位置:肿瘤瞭望>资讯>正文

诺华NET之声︱神经内分泌肿瘤文献速递与专家点评(24)

作者:肿瘤瞭望   日期:2021/11/1 10:15:00  浏览量:14017

肿瘤瞭望版权所有,谢绝任何形式转载,侵犯版权者必予法律追究。

第24期“诺华NET之声”继续与大家分享新近发表的神经内分泌肿瘤相关研究,涉及预后分析、诊断、治疗和管理等领域。

本文内容仅供医疗卫生等专业人士参考
 
编者按:第24期“诺华NET之声”继续与大家分享新近发表的神经内分泌肿瘤相关研究,涉及预后分析、诊断、治疗和管理等领域。我们还邀请了四川大学华西医院的柯能文教授,对一项关于G1-2级无功能性胰腺神经内分泌瘤(NF-pNET)术后复发预测模型的研究进行点评,并分享其在临床实践和研究中对中国NF-pNET患者术后复发预测的经验和探索。
 
目录
 
 
预后分析
 
1. 列线图预测G1和G2无功能性胰腺神经内分泌瘤切除术后复发的国际验证
 
International Validation of a Nomogram to Predict Recurrence after Resection of Grade 1 and 2 Non-Functioning Pancreatic Neuroendocrine Tumors
 
Neuroendocrinology [IF=4.911]
 
发表在Neuroendocrinology的回顾性研究收集了7个国际转诊中心1992-2018年间因G1-2 无功能性胰腺神经内分泌瘤(NF-pNET)手术切除患者的资料,旨在评估最近发表的预测NF-pNET术后5年内复发的模型的外部有效性。该预测模型以肿瘤分级、淋巴结状态和外周神经侵犯作为预测因子。
 
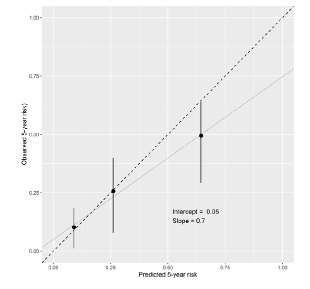
模型性能通过校准统计、Harrel的C统计和5年无复发生存率(RFS)受试者操作特征(ROC-)曲线下面积(AUC)进行评估。在>2 cm的pNET中进行亚组分析。对模型进行了改进,将患者分为三个复发风险组(低、中、高)。
 
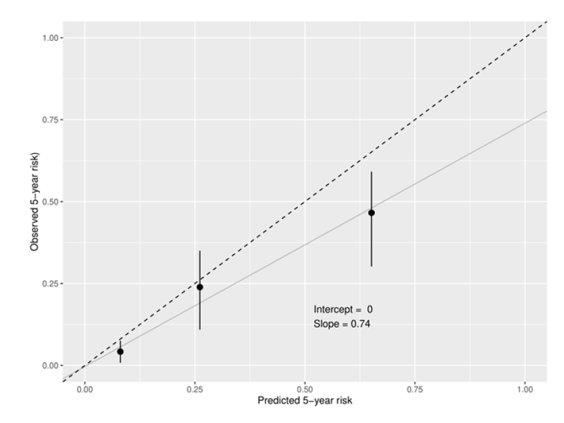
总的来说,342例患者被纳入验证队列,5年RFS率为83%(95% CI:78-88%)。58例患者(17%)出现复发。校准显示截距为0,斜率为0.74。C统计量为0.77(95% CI:0.70-0.83),预测5年RFS的AUC为0.74。该预测模型在>2cm的肿瘤中有较好的预测效果(C统计量为0.80)。
 
综上,使用三个易于获取的参数,1-2级NF-pNET根治性手术后复发预测模型的外部有效性总体表现准确。该模型可通过www.pancreascalculator.com获得。
 
 
 
图1 A. 验证队列中,1-2级NF-pNET切除后3个风险组(低、中、高)5年复发风险的预测值 vs 观察值校准图。虚线(斜率为1,截距为0)表示完美校准。图1 B. 验证队列中,>2 cm的1-2级NF-pNET切除后3个风险组(低、中、高)5年复发风险的预测值 vs 观察值校准图。虚线(斜率为1,截距为0)表示完美校准
 
 
 
图2A. 预测模型预测的每个风险组(低、中、高) G1-2 NF-pNET切除后的5年无复发生存(RFS) Kaplan - Meier曲线。图2B. 预测模型预测的每个风险组(低、中、高)>2cm G1-2 NF-pNET 的5年无复发生存(RFS) Kaplan - Meier曲线
 
 
图3. 预测1-2级NF-pNET切除后5年复发风险的列线图
 
专家点评
 
柯能文教授
 
四川大学华西医院
 
胰腺神经内分泌肿瘤(Pancreatic neuroendocrine tumors,pNETs)术后复发预测模型的建立一直是该领域的难点之一。准确的术后复发预测,可以让患者获益良多。对预测为低复发或几乎不会复发的患者,可减少患者术后随访的次数,延长时间间隔,这样不但减少了患者暴露于不必要电子辐射的机会,同时减少了患者为复查所花费的时间、精力及费用,对患者的心理也有较大的帮助,可以明显缓解患者因为担心疾病复发导致的焦虑情绪。然而对预测为复发风险较高的患者,则可以尽早进行术后干预。无论是提高复查频率还是预防性使用辅助治疗措施,都将对患者的疾病治疗带来益处。
 
但目前全球均未找到关于pNETs最佳的术后复发预测模型。2020年,由荷兰阿姆斯特丹大学癌症中心外科E.J. Nieveen van Dijkum教授牵头,联合法国、德国、美国等多个大学医学中心进行了一项针对pNETs G1\G2分级患者在根治性外科切除术后复发因素分析的国际多中心研究。该研究的结果于2021年发表于国际知名神经内分泌肿瘤期刊Neuroendocrinology。
 
研究收集了来自3大洲7个国家7个国际转诊中心非转移性G1级或G2级NF-pNETs接受切除术的患者的数据。纳入的数据中排除了接受任何类型的新辅助或辅助治疗、有遗传综合征(MEN-1,von hippel lindau综合征)、功能性肿瘤(即胰岛素瘤、胃泌素瘤、胰高血糖素瘤、生长抑素瘤、vipoma)、手术切缘大体阳性(R2)、WHO 2017 G3级肿瘤(即Ki-67指数 > 20%)、手术时转移(通过放射学成像检测或组织病理学证实)或列线图变量缺失(即肿瘤分级、淋巴结状态、神经周围浸润状态、复发状态)的患者数据。最终,研究纳入了342名患者的数据,评估了三个变量:肿瘤分级(1级或2级)、淋巴结状态(是/否)和神经周围浸润(是/否)。每个结果指定多个评分:1级 = 0分,2级 = 40分,无阳性淋巴结 = 0分,阳性淋巴结 = 24分,无神经周围浸润 = 0分,神经周围浸润 = 24分。根据得分,分为3组(低风险 = 0 - 24分,中风险40 - 48分,高风险 ≥ 64分)。
 
研究结果提示,在G1/G2级NF-pNETs患者中,根治术切除术后,5年无复发生存率为83%。该队列患者,中位年龄为60岁(IQR 51 - 70),中位肿瘤大小为21 mm(IQR 13 - 40),接近一半的患者(46.1%)的患者肿瘤位于胰头。在中位随访时间50.5个月(IQR 22.3 - 103.0)内共58例患者出现复发。复发的患者中,78%(45/58)发生肝转移,22%(13/58)发生多部位复发(如肝和骨、肝和淋巴结)。
 
上述结果提示,术后复发绝大多数是发生肝转移,因此对肝转移产生的原因及预防措施,是值得深入研究的课题。该组患者有近一半的患者肿瘤位于胰头,而位于胰头的肿瘤,绝大多数会实施胰十二指肠切除术。在胰腺癌的研究中,有学者发现,传统胰十二指肠切除术需先游离胰头,再行切除。该过程会反复挤压胰头,导致门静脉中循环肿瘤细胞明显增加,而循环肿瘤细胞的增加,是术后肝转移的危险因素。NF-pNETs作为一类血供丰富的肿瘤,传统胰十二指肠切除术导致循环肿瘤细胞增加的可能性比胰腺癌更大,因此推测这类患者术后复发主要以肝转移为主,可能与手术操作有一定的关系。在临床实践中,我们团队开发了一种经结肠下区的NO-TOUCH胰十二指肠切除术,在离断血管前,不游离胰头,解决了因手术操作导致的肿瘤血行转移难题。当然,手术操作可能只是导致肿瘤转移的一个方面,还有更多因素需要进一步研究阐明。
 
在研究的主要结果方面,本研究以肿瘤分级、淋巴结状态和神经周围浸润为三个衡量变量,建立模型。使用该模型识别低风险患者的预测5年复发风险为8.1%,中风险为26.1%,高风险患者为65.1%。该模型在外部验证队列中表现比ENETS/AJCC第8版分期系统和WHO分级略好。据此结果,可认为G2级NF-pNETs,只要淋巴结转移或周围神经侵犯,术后5年复发概率高达65.1%。而G1级NF-pNETs,即使有淋巴结转移,或周围神经侵犯,也只是低危组,术后5年复发几率只有8.1%。因此作者甚至认为,低风险患者随访可以从每6个月一次减少到每两年一次。这个建议是大胆的,当然,如果被证实可行,将大大减少患者的负担。但如果G1级NF-pNETs既有有淋巴结转移也有周围神经侵犯,则术后5年复发概率为26.1%。该预测模型相对简单、实用。若能有前瞻性的临床试验证实,不失为较好的术后复发预测模型。
 
该研究只纳入了欧美人群的数据。尚无中国人群的数据。基于我们团队的回顾性研究,我们发现在中国人群中,除了该研究提出的三组变量外,年龄同样是疾病复发的风险之一。2020年,我们团队发表了基于华西医院103例NF-pNETs患者的研究数据,结果发现根治性切除术后仍然有15%的患者在49个月内转移,其中58%为肝转移,ki-67>5%,淋巴结转移阳性等是转移的独立危险因素,>52的患者比<52岁的患者更容易出现术后复发。
 
参考文献:
 
Tan QQ, Wang X, Yang L, Chen YH, Tan CL, Zhu XM, Ke NW, Liu XB. Analysis of recurrence after resection of well-differentiated non-functioning pancreatic neuroendocrine tumors. Medicine (Baltimore). 2020 Jun 12;99(24):e20324. doi: 10.1097/MD.0000000000020324. PMID: 32541455; PMCID: PMC7302624.
 
Tan QQ, Wang X, Yang L, Chen YH, Tan CL, Ke NW, Liu XB. Predicting survival in non-functional pancreatic neuroendocrine tumours. ANZ J Surg. 2020 Oct;90(10):2026-2031. doi: 10.1111/ans.16072. Epub 2020 Jun 26. PMID: 32590888.
 
2. 散发性非功能性胰腺神经内分泌瘤:一项多中心分析
 
Sporadic non-functioning pancreatic neuroendocrine tumours: multicentre analysis
 
Br J Surg [IF= 6.930]
 
发表在Br J Surg的一项回顾性分析,在意大利大型队列中验证治愈模型分析对接受根治性切除术的散发性非功能性胰腺神经内分泌肿瘤(Pan-NEN)患者的作用。
 
这项多中心研究纳入接受根治性胰腺切除术的散发性非功能性Pan-NEN患者。在生存分析中,分析了该队列与匹配的健康意大利人群的死亡风险。相对生存(RS)率为观察到的和预期的生存之间的比率。使用多变量模型分析与RS相关的因素。
 
在964例因散发性非功能性Pan-NEN进行胰腺切除术的患者中,总体RS率为91.8%(95% CI 81.5 至 96.5%)。2019 年 WHO 分级(风险比 (HR) 5.75 (s.e. 4.63);P=0.030)和欧洲神经内分泌肿瘤学会(ENETS) TNM 分期(6.73(3.61);P<0.001)是RS的独立预测因子。G1、G2、G3 Pan-NENS 和胰腺神经内分泌癌(Pan-NEC)患者正常预期寿命概率分别为96.7%、54.8%、0% 和0%。I、II、III和IV期疾病患者的正常预期寿命概率分别为99.8%、99.3%、79.8%和46.8%。总体无病RS率为73.6%(65.2 至 79.5%)。2019 年 WHO 分级(HR 2.10 (0.19);P < 0.001)和 ENETS TNM 分期(HR 2.50 (0.24);P < 0.001)显著影响无病RS。I、II、III 和 IV 期患者的无病生存率分别为93.2%、84.9%、45.2%和6.8%,G1、G2、G3 Pan-NENS和Pan-NECs患者的无病生存率分别为91.9%、45.2%、9.4 %和0.7%。
 
综上,手术似乎对Pan-NECs没有获益,对于小的G1散发性Pan-NENs似乎没有必要。对于 III-IV 期和G3 Pan-NEN,仅手术可能是不够的。
 
3. 胃肠胰腺G3神经内分泌瘤:单一实体瘤还是异质性群体?一项回顾性分析
 
Gastroenteropancreatic grade 3 neuroendocrine tumors: a single entity or a heterogeneous group? A retrospective analysis
 
J Endocrinol Invest [IF= 4.253]
 
发表在J Endocrinol Invest的一项回顾性研究,旨在探索有助G3神经内分泌瘤(NET G3)管理的预后和预测因素。
 
从2015年到2020年,研究者对在神经内分泌肿瘤(NEN)专科多学科团队评估的所有Ki-67 >20%、分化良好的NETs患者进行了回顾性分析。根据NET G3诊断时间、放射性示踪剂分布和Ki-67对样本进行分层。分析这些NET G3特征与临床结局之间的相关性。
 
在3238份多学科讨论报告中,选择出55例患者,48例为胃肠胰腺(GEP)起源,7例为隐匿性GEP起源。45例患者在临床病史开始时就诊断为NET G3(前期NET G3),10例在临床病史开始时为NET G1-G2 (后期NET G3)。与Ki-67>30% (21/55)患者相比,Ki-67≤ 30%(34/55)患者的总生存(OS)更佳(P=0.042);与68镓(68Ga)-DOTA肽正电子发射断层扫描(PET)/计算机断层扫描(CT)摄取均匀患者相比,摄取阴性/不均匀患者显示出更好的OS趋势和显著更好的无进展生存(PFS)(P=0.033)。与18-氟脱氧葡萄糖(18FDG)-PET/CT摄取均匀患者相比,摄取阴性/不均匀患者观察到更好的OS(P=0.027)。后期NET G3 vs前期NET G3有更好的OS趋势,而后者的缓解率(RR)显著更佳(P=0.048)。
 
该研究表明Ki-67截止值、功能成像和NET G3诊断时机可能有助于临床医生更准确地选择NET G3患者进行管理。需要进行前瞻性研究验证。
 
诊断
 
4. 一种神经内分泌肿瘤的多基因组液体活检生物标志物,优于CgA且具有外科和临床应用价值
 
A Multigenomic Liquid Biopsy Biomarker for Neuroendocrine Tumor Disease outperforms CgA and has Surgical and Clinical Utility
 
Ann Oncol [IF=32.971]
 
发表在Ann Oncol的一项观察性、前瞻性、横断面、多中心、多国、队列比较研究,旨在比较多基因组血液生物标记物(NETest) vs CgA的临床作用。
 
研究分为两个队列。队列1(n=2415):对NET组(n=1684)和癌症、良性疾病、对照组(n=731)进行NETest评估。队列2(n=1270):在一个NETs亚队列(n=922)与其他疾病和对照组(n=348)中对NETest/CgA进行匹配分析。通过实体瘤疗效评估标准(RECIST)评估疾病状态。NETest测量值:qPCR[正常值上限(ULN: 20)],CgA(EuroDiagnostica,ULN: 108 ng/ml)。
 
队列1:NETest的诊断准确率为91%(P<0.0001),鉴别出嗜铬细胞瘤(98%)、小肠(94%)、胰腺(91%)、肺(88%)、胃(80%)和阑尾(79%)。NETest用于分级:G1(40±1)、G2(50±1)和G3(52±1)。局限性疾病的水平(38±1)低于转移性疾病(52±1,P<0.0001)。NETest用于准确分层RECIST标准评估的疾病范围:无疾病(21±1)、疾病稳定(43±2)、疾病进展(62±2)(P<0.0001)。NEtest与影像学检查(CT/MRI/68Ga SSA PET)的一致性为91%。术前,所有NETs(n=153)均为阳性(100%)。在姑息性R1/R2手术(n=51)后,所有(100%)患者NETest水平均保持升高。根治性R0手术(n=102)后,81例(70%)患者的NETest水平正常,2年后无复发。在31例(30%)水平升高的患者中,25例(81%)在2年内复发。
 
队列研究2:NETest诊断准确率为87%,CgA为54%(P<0.0001)。NETest在分级(卡方=7.7,OR=18.5)和转移性疾病鉴别(卡方=180,OR=8.4)方面比CgA更准确。与CgA相比,NETest可确定进展性疾病(95% vs 57%,P<0.0001)。NETest与影像学检查的一致性为91%,而CgA为46%(P<0.0001)。NETest用于术后复发预测的阳性率>94%,而CgA为11%。
 
综上,与CgA相比,NETest可准确诊断NETs,是影像学检查、分级、转移和疾病状态的有效替代标志物。多基因组液体活检是NET疾病的准确生物标志物。
 
治疗与管理
 
5. 晚期神经内分泌肿瘤患者是否应根据O6 -甲基鸟嘌呤DNA甲基转移酶状态使用替莫唑胺? 一项系统回顾和荟萃分析
 
Should temozolomide be used on the basis of O 6-methylguanine DNA methyltransferase status in patients with advanced neuroendocrine tumors? A systematic review and meta-analysis 
 
Cancer Treat Rev [IF=12.110] 
 
发表在Cancer Treat Rev的系统回顾和荟萃分析,旨在评估O6-甲基鸟嘌呤DNA甲基转移酶(MGMT)对于经替莫唑胺(TEM)治疗的NETs患者的预测作用。
 
研究根据PRISMA法,在主要数据库(PubMed、Embase、Scopus、Web of Science、Cochrane Library和clinical trial.gov)和主要国际会议记录中进行系统回顾和荟萃分析,数据截止2021年4月26日。
 
从616篇文章中选择12篇进行分析,涉及858例接受含TEM化疗的NET患者。使用多种方法对513例(60%)患者进行了MGMT状态检测。MGMT-缺陷型患者的合并总缓解率(ORR)高于MGMT-正常型,风险差为0.31(95%CI:0.13-0.50;p<0.001;I2:73%),风险比(HR)为2.29(95% CI:1.34-3.91;p<0.001;I2:55%)。MGMT-缺陷型患者的合并无进展生存期(PFS)(HR=0.56;95%CI:0.43-0.74;p<0.001)和总生存期(OS)(HR=0.41;95%CI:0.20-0.62;p=0.011)比MGMT-正常型更长。
 
荟萃分析表明MGMT状态可以预测TEM疗效。然而,由于评估研究的高度异质性,应考虑偏倚风险。基于这一假设,未来有必要进行同质的前瞻性研究。
 
6. 奥沙利铂联合5-氟尿嘧啶(FOLFOX)治疗晚期高分化消化道神经内分泌肿瘤:法国内分泌肿瘤研究小组(GTE)的多中心回顾性研究
 
Oxaliplatin and 5-fluorouracil (FOLFOX) in advanced well differentiated digestive neuroendocrine tumors: a multicenter national retrospective study from the French Group of Endocrine Tumors (GTE) 
 
Neuroendocrinology [IF=4.911]
 
发表在Neuroendocrinology的回顾性研究,旨在评估FOLFOX(5-氟尿嘧啶+奥沙利铂)方案对晚期消化道NETs患者的疗效。研究纳入2004年1月至2018年12月在法国内分泌肿瘤组的12个中心接受至少3个周期FOLFOX治疗的晚期高分化消化道NETs患者。根据RECIST v1.1评估肿瘤缓解率、无进展生存期(PFS)和总生存期(OS)以及预后因素。
 
共纳入155例患者。原发肿瘤部位分别为胰腺(n=89)、小肠(n=40),未知且无肺原发证据(n=13)、胃(n=7)和直肠(n=6)。Ki-67中位数为10%,65%的肿瘤为G2。胰腺NETs的部分缓解率为30%,小肠NETs为12.5%,未知的原发性NETs为38.5%,胃NETs为14%,直肠NETs为17%。FOLFOX治疗后PFS不佳的显著预后因素为:治疗开始时的进展性疾病(HR=1.83,p=0.007)、肝脏受累程度大于50%(HR=2.67,p=0.0001)和直肠原发肿瘤(HR=2.6,p=0.0036)。在胰腺NETs中,胰岛素瘤的中位PFS优于其他胰腺NETs(22 vs 9个月,p=0.026),且血糖正常化率高(8/9)。
 
综上,FOLFOX在晚期消化道NETs中具有良好的抗肿瘤活性。转移性胰岛素瘤症状缓解迅速。
 
SAN21101922
 
专家简介
 
 
柯能文教授
 
四川大学外科学硕士研究生导师
 
四川省抗癌协会肿瘤内分泌专委会副主任委员
 
四川省抗癌协会胃胰专委会青年委员会副主任委员
 
四川省抗癌协会胰腺肿瘤规范化诊治协作组副组长
 
中国抗癌协会胰腺癌专委会神经内分泌学组委员
 
中国抗癌协会胰腺癌专委会青年委员
 
中华医学会临床流行病学和循证医学分会循证医学学组委员
 
四川省肿瘤学会神经内分泌肿瘤专委会委员
 
中国医促会神经内分泌肿瘤分会青年委员
 
英国利物浦大学皇家利物浦医院访问学者
 
擅长全腹腔镜下胰十二指肠切除、腹腔镜下肝切除,腹腔镜下保留脾脏胰体尾切除、胰腺中段切除、联合血管切除的全胰腺切除等多种复杂手术。

 

本内容仅供医学专业人士参考


内分泌

分享到: 更多