当前位置:肿瘤瞭望>资讯>研究>正文

文献精读 | 一文了解肺癌新辅助免疫治疗进展

作者:肿瘤瞭望   日期:2022/5/27 9:19:53  浏览量:15994

肿瘤瞭望版权所有,谢绝任何形式转载,侵犯版权者必予法律追究。

对于潜在可手术患者,通过新辅助治疗降低肿瘤负荷、获得手术机会是优先考虑的治疗策略,单纯化疗为患者的带来的获益有限。随着免疫治疗在这部分患者中开疆拓土,新辅助免疫治疗成为这一领域近年的研究热点之一并积累了非常多的循证医学证据,包括新辅助免疫单药、免疫联合化疗、双免疫等均有相关探索。近期,JTO杂志发表了国产PD-1抑制剂——信迪利单抗单药新辅助治疗3年的随访结果,《肿瘤瞭望》对全文进行摘要编译并对本领域进展进行总结,希望各位读者指导交流。

对于潜在可手术患者,通过新辅助治疗降低肿瘤负荷、获得手术机会是优先考虑的治疗策略,单纯化疗为患者的带来的获益有限。随着免疫治疗在这部分患者中开疆拓土,新辅助免疫治疗成为这一领域近年的研究热点之一并积累了非常多的循证医学证据,包括新辅助免疫单药、免疫联合化疗、双免疫等均有相关探索。近期,JTO杂志发表了国产PD-1抑制剂——信迪利单抗单药新辅助治疗3年的随访结果,《肿瘤瞭望》对全文进行摘要编译并对本领域进展进行总结,希望各位读者指导交流。

 
研究概况
 
 
研究背景:2020年,全球肺癌新发和死亡人数分别为221万和180万;2015年,中国新发肺癌病例约78.7万,是最常见的恶性肿瘤。在中国,吸烟、职业暴露及空气污染是导致肺癌最常见的因素,化疗、放疗及手术治疗是传统治疗手段,术后辅助放化疗可改善患者预后但带来的获益有限。此外,术前新辅助化疗而导致粒细胞下降等不良反应,从而限制了新辅助化疗在临床的应用。
 
免疫治疗相较于化疗具有更好的安全性,且为驱动基因阴性的晚期非小细胞肺癌患者带来新的治疗选择。在我们前期的研究中,已经证实了信迪利单抗这款针对PD-1的免疫检查点抑制剂单药在新辅助治疗中的安全性,本研究旨在更新经过3年随访后的数据。
 
研究方法:是一项单臂、单中心,Ib期临床研究,纳入18~75周岁的Ia-IIIb期的非小细胞肺癌患者,且肿瘤直径大于2cm,不携带EGFR突变,符合入组标准的患者接受信迪利单抗200mg,每3周一次的治疗,2周期治疗后,在末次治疗29~43天内给予手术治疗,术后根据患者不良反应、临床评估等给予以下3种治疗之一:化疗联合免疫、免疫单药或传统放化疗。患者在手术前7天内接受PETCT检查并评估SUV摄取值,该研究主要终点为不良反应、手术延迟率以及术后并发症,关键次要终点包括3年OS率,1年、2年、3年DFS率及EFS率、主要病理学缓解(MPR)等。
 
研究结果:研究共筛查了43例患者,最终40例患者入组,这40例患者中,分别有80%和82.5%的患者既往有吸烟史,病理诊断为鳞癌;I期、II期、IIIa期和IIIb期患者占比分别为20%、30%、25%和20%。32例患者接受PD-L1检测,其中55%的患者检测阳性,37例患者接受手术切除,其中1例患者为R2切除,其余均为R0切除。术后分别有40.5%、27.0%和10.8%的患者接受信迪利单抗单药、化疗联合信迪利单抗以及传统放化疗治疗。2例患者在术后短期内出现死亡事件,1例因术后出现严重意识障碍,另外1例为免疫相关肺炎。经过中位3年随访后,8例患者出现复发,包括:1例局部复发,3例肺转移,3例脑转移,1例骨转移,中位随访时间37.8个月。
 
每例患者的预后及转归
 
研究在全人群中及PD-L1≥1%的人群中进行数据分析,对36例R0切除的患者分析发现,患者3年OS率88.5%,3年DFS率75.0%;PD-L1阳性表达人群,3年OS率和DFS率分别为95.5%和81.8%,40例患者均纳入EFS分析,中位EFS为44.4个月,3年EFS率为70%,PD-L1阳性队列3年EFS率81.8%。在亚组分析中,研究者基于PD-L1表达水平分为高表达、中表达和低表达队列(1%、10%和50%),研究发现PD-L1≥1%的患者,具有更好的OS,HR=0.275,P=0.0325,但如果以10%和50%作为截断值,并未发现PD-L1表达水平和DFS及EFS的相关性。此外研究者以10%为截断值,基于TMB水平对患者预后进行分析,发现较高的TMB和患者更好的预后有关,HR=0.164,P=0.0612,术后评估为MPR或p-CR的患者,两者之间的预后在DFS和EFS水平无差异,但是,评估为MPR的患者,其3年OS率和DFS率优于非MPR患者。进一步亚组分析,未发现组织病理类型和患者预后有关。
 
研究结论:这是首个公布针对PD-1的免疫检查点抑制剂单药新辅助治疗非小细胞肺癌的长期随访数据,其长期随访数据显示,PD-L1表达阳性及较高TMB的人群具有更好预后。
 
肺癌新辅助免疫治疗总结
 
1 免疫单药
 
CheckMate-159研究:是第一个探索新辅助免疫治疗的研究,虽然是一个单臂的小样本研究,数据却发表于《新英格兰医学杂志》。研究共纳入21例患者,接受2周期O药治疗(3mg/kg,每2周一次)。首次治疗4周后,接受手术,其中20例患者接受手术治疗,主要目前是为了探索该治疗手段的安全性及可行性。最终,单药免疫治疗带来了45%的MPR,且不同PD-L1表达水平的患者均有获益,而新辅助免疫治疗并未对患者的手术治疗造成影响,仅有1例(4.8%)患者出现了与治疗相关的3度以上的不良反应。由此,拉开了新辅助免疫治疗的序幕。

LCMC3研究:在2019年ASCO年会报道了研究的数据。研究计划入组180例患者,首次结果公布时入组101例患者,接受1200mg 阿替利珠单抗单药2周期的治疗,其中90例患者接受手术,该研究结果与CheckMate-159研究的数据差异较大,主要病理学缓解率仅为18%,PD-L1表达阳性组和阴性组的MPR分别为29%和8%,差异接近于有统计学意义(P=0.055),但如果以50%作为截断值,则高表达和低表达患者的MPR分别为35%和11%,差异具有统计学意义(P=0.04),研究并未发现TMB与MPR之间的相关性。这一治疗策略展现了较好的安全性,仅有6%的患者出现了3度及以上治疗相关的不良反应。
 
2 免疫联合化疗
 
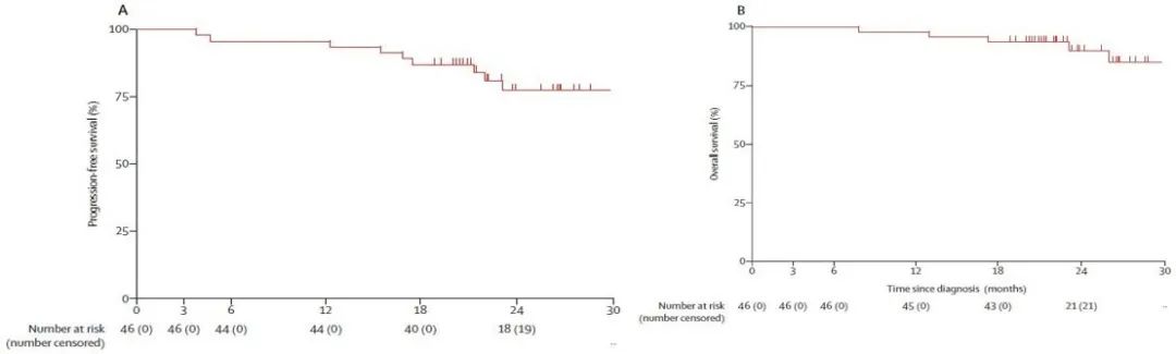
NADIM研究:NADIM研究是一项开放标签、多中心、单臂、II期临床研究,需要注意的是,该研究只纳入IIIa期非小细胞肺癌患者且所有患者接受诊断性活检以及有创性病理分期评估,但并不要求患者必须为N2。治疗方案如下:Nivolumab固定剂量360mg联合紫杉醇(200mg/m2)及卡铂(AUC=5)治疗,接受3周期治疗后手术并接受不超过1年的Nivolumab术后维持治疗。主要研究终点为24个月的PFS率,次要终点为3年的OS率、病理及影像缓解率、肿瘤降期率以及完全性手术切除率。
 
研究取得了非常瞩目的成果,结果多次在WCLC、ASCO等会议报道并最终发表于Lancet Oncology杂志。共计46例患者入组, MPR达到了83%,71%的患者出现完全病理缓解(定义为未找到肿瘤细胞),90%的患者分期下降。所有的患者均为R0切除,12个月PFS率为95.7%,18个月PFS率为87%,24个月的PFS率为77.1%,在修订的ITT人群中,12个月、18个月和24个月的OS率分别为97.8%、93.5%和89.9%。从安全性来看,全组3度及以上不良反应发生率为30%,在新辅助治疗阶段无不良反应导致治疗中止、手术延迟或死亡。在术后辅助治疗阶段,14%的患者因不良反应导致治疗终止。2021年WCLC,该研究公布了最新的研究数据,全组患者中位随访37.9个月,更新后的数据显示,14例患者出现疾病进展,9例患者出现疾病死亡,36个月和42个月的PFS率均为69.6%,36个月和42个月的OS率分别为91.0%和87.3%。
 
NADIM研究的PFS及OS数据
 
阿替利珠单抗联合化疗:数据同样发表于Lancet Oncology杂志,同样是一项单臂、II期临床研究,该研究纳入的人群为Ib-IIIa期NSCLC患者,符合入组标准的患者接受阿替利珠单抗1200mg联合卡铂(AUC=5)及白蛋白结合型紫杉醇(100mg/m2,每周期第1天、第8天、第15天给药)。两周期治疗后患者将进行CT评估,若基于RECIST标准未发现疾病进展,则需要继续接受两周期治疗。但如果患者出现不可耐受的毒性反应,而不能接受全部4周期治疗,允许患者提前进行手术。术后每4~6个月进行一次随访。
 
本研究主要终点为MPR,次要研究终点包括ORR、DCR、PFS及安全性等。该研究共纳入30例患者,数据同样可观。数据分析发现,患者MPR为57%,其中33%的患者为p-CR,接受R0切除的患者,瘤体中位退缩程度达到92.5%。以50%作为截断值,未发现PD-L1表达水平和MPR之间存在相关性(P=0.67),基于影像学评估数据如下:63%为PR,30%为SD,7%为PD。中位随访12.9个月后,整体人群的DFS为17.9个月,OS尚未达到。19例术前评估为N2的患者,58%的患者从N2降级为N0,11%的患者从N2降为N1,N2转为N0的患者及N2转为N1或未降级的患者,中位DFS分别为14.3个月和17.9个月。研究未出现治疗相关的死亡事件。
 
阿替利珠单抗联合化疗的DFS及OS
 
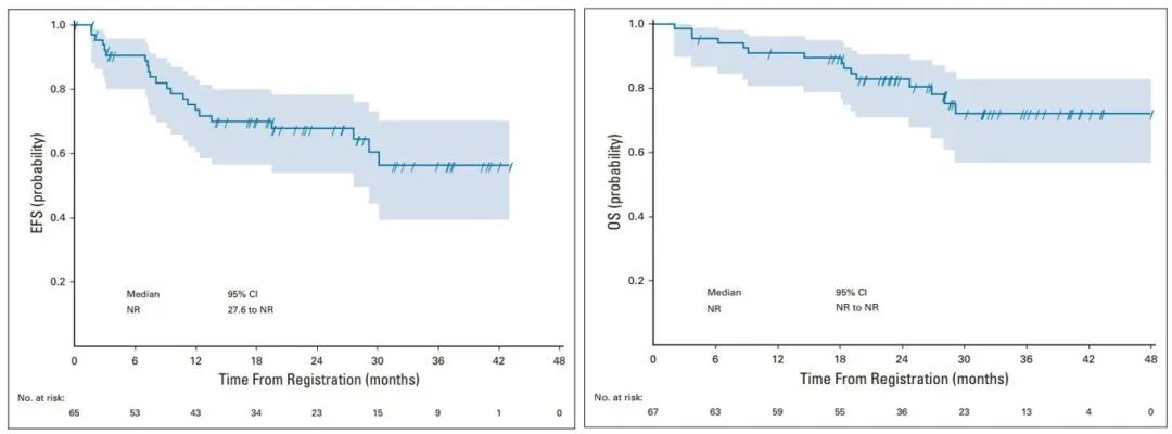
度伐利尤单抗联合化疗(SAKK16/14研究):研究是一项单臂临床试验,纳入IIIa期患者且N2患者必须经过纵膈镜检查确认,符合入组标准的患者接受多西他赛联合顺铂治疗3周期同时联合2次度伐利尤单抗治疗(750mg,每2周一次),主要研究终点为1年的EFS率。研究假设由48%提高至65%,手术后接受1年的度伐利尤单抗维持治疗。研究共纳入67例患者,MPR为62%,其中18%的患者评估为p-CR,另有67%的患者出现淋巴结降期,研究未发现治疗前PD-L1表达水平与患者MPR或淋巴结降低有有关。1年的EFS率为73%,达到了研究预设的终点,经过中位28.6个月的随访后,患者中位EFS尚未达到。88%的患者出现3度及以上不良反应。
 
SAKK16/14研究的EFS及OS
 
CheckMate-816研究:是目前唯一一个III期临床研究,也是唯一以p-CR及EFS作为主要研究终点的研究,研究数据于2021年、2022年两度在AACR年会报道并在《新英格兰医学杂志》发表。研究纳入Ib-IIIa期患者接受单纯化疗或在此基础上联合免疫治疗,接受3周期新辅助治疗后,接受手术,并允许患者术后接受至多4周期化疗/放疗或两者联合。结果发现,联合治疗组和单纯化疗组的中位EFS分别为31.6个月和20.8个月,HR=0.63;两组p-CR分别为24%和2.2%,不同临床病理特点的患者均可以从这一治疗策略中获益。两组3度及以上不良反应发生率分别为33.5%和36.9%。
 
CheckMate-816研究的EFS
 
3 双免疫
 
代表性的研究为NEOSTAR研究,数据发表于Nature Medicine杂志。这是一项小型II期随机对照研究,符合入组标准的患者按照1:1的比例随机分为 Nivolumab单药(3 mg/kg,第1天、第15天和第29天给药)或Nivolumab联合Ipilimumab (3 mg/kg,第1、第15、第29天给药,联合Ipilimumab 1 mg/kg,第1天给药)。单药组和联合组分别入组23例和21例患者。单药组MPR为22%,联合组为38%,P=0.235。联合治疗组超过6例患者取得主要病理学缓解,达到研究主要研究终点。两组分别有2例和6例患者达到p-CR。两组的影像学ORR分别为22%和19%。
 
但是,联合治疗导致更多的患者失去手术机会,单药组和联合组分别有1例和4例患者未接受手术。全组患者中位随访时间为22.2个月,中位OS以及肺癌相关RFS均未达到。PD-L1≥1%的患者,其影像缓解水平及病理学缓解水平均更高,但部分PD-L1表达阴性的患者同样出现客观响应。单药组和联合组分别有13%和10%的患者出现3度及以上治疗相关不良反应。基于这项结果,CheckMate-816研究提前关闭了双免疫联合治疗队列。
 
NEOSTAR研究中,两组瀑布图
 
小   结
 
从目前的数据看,单药免疫治疗虽然具有良好的安全性,但是疗效有限,还具有很大的提升空间;而在此基础上联合化疗可以大幅提高患者的疗效,且安全性可耐受,是可优先考虑的治疗选择,也是目前唯一被批准的治疗策略;双免疫联合治疗方案可能仍需进一步探索。

本内容仅供医学专业人士参考


肺癌新辅助免疫治疗

分享到: 更多